Evaluating the Impact of Financial Agglomeration on Green Technology Innovation: Theoretical Analysis and Empirical Test
Guangming Xian1*
1School of Economics, Shanghai University of Finance and Economics, Shanghai, China
*Correspondence to: Guangming Xian, PhD, School of Economics, Shanghai University of Finance and Economics, No. 777 Guoding Road, Shanghai, 200433, China; Email: nkgmxian@126.com
DOI: 10.53964/id.2024016
Green innovation has become an important pathway for promoting economic growth and sustainable development. As a vital factor in green innovation, financial agglomeration and its impact have drawn growing research interests. Using spatial Durbin model and 2010-2021 panel data of 30 provinces in China, this study investigates how financial agglomeration affects green technology innovation efficiency (GTIE). The empirical results demonstrate that financial agglomeration exerts a significantly positive impact on the local green innovation and generates positive spatial spillover effects to neighboring regions. The spatial heterogeneity analysis further indicates that compared with eastern regions, the spillover effects of financial agglomeration on green innovation are more pronounced in central and western regions. The underlying mechanisms through which financial agglomeration facilitates GTIE are explored from three dimensions, including industrial structure upgrading effect, financing constraint relaxation effect, and information diffusion effect. These findings provide new insights into how financial agglomeration can be utilized to foster green innovation and offer practical implications for related policy making.
Keywords: financial agglomeration, green technology innovation, spatial spillover effect
1 INTRODUCTION
The seminal importance of green technologies for safeguarding environmental integrity and advancing sustainable development cannot be overstated[1-4]. In 2015, the historic Paris Agreement was ratified by 196 countries, signifying a landmark global accord. It underscored the critical imperative of constraining the increase in global average temperature to well below 2°C relative to pre-industrial epochs, while striving to further limit it to 1.5°C. Achieving this ambitious objective is contingent on substantially mitigating the global warming syndrome, specifically targeting net-zero emissions by mid-century[5,6]. This indispensable process will be inevitably interwoven with green technological advancement. Moreover, efforts to ameliorate climate change confer multifaceted co-benefits, spanning improved air and water quality to shielding human health and biological diversity[7,8]. Therefore, investing in green technologies is indispensable not only for alleviating the adversities of global warming, but also expediting sustainable development and elevating worldwide quality of life[9,10]. Within this intricate narrative, the Sustainable Development Goals constitute signposts for surmounting the climate change challenge[11]. By promoting knowledge sharing and technology transfer to conquer the multitude of impediments obstructing green innovation, assiduous implementation of these transformative targets can pave the pathway to securing an enduring and sustainable urbanization strategy.
Green technology innovation efficiency (GTIE) constitutes a vital barometer for calibrating the green innovation capacities of a region[12]. Moreover, it serves as a pivotal bellwether of industrial upgrading, transformation, and future growth prospects, holistically encapsulating innovation outputs and green development capabilities[13,14]. In practice, spatial agglomeration of requisite factors and resources represents a critical conduit for augmenting green innovation[15]. Among these, financial agglomeration, as a pivotal organizational archetype within modern financial sector evolution, can elicit industrial upgrading, alleviate financing constraints, and diffuse information by facilitating the swift flow and optimal configuration of financial elements and resources across space[16]. This engenders new opportunities for financial sector expansion, while furnishing indispensable financial support for corporate green technology R&D, commercialization, and beyond[17]. As the cardinal intermediaries that aggregate societal capital and allocate financial resources, financial institutions and markets can perform an indispensable function in steering funding towards green technology ventures. Specifically, the geographic concentration of financial activity, epitomized by financial agglomeration, can exert substantial yet complex influences on corporate eco-innovation capacities and success[18]. Therefore, holistically evaluating the precise mechanisms and heterogeneities shaping how financial agglomeration affects GTIE carries transcendent policy and practical value.
The existing literature has extensively examined the relationship between finance and innovation. The finance-innovation nexus posits that well-developed financial systems ease external financing constraints, signal investment prospects, enable risk sharing, and allocate funds to innovative projects, thereby facilitating technological advancement[19,20]. Empirically, higher financial development promotes firm R&D investment, patenting, and new product development across countries[21,22]. Financial structure also matters, with diversified banking systems particularly conducive for radical innovation. Moreover, spatial proximity to finance exerts localized knowledge spillovers on corporate innovation, evidencing the importance of financial geography.
Recent research increasingly integrates environmental aspects, analyzing how financial development affects eco-innovation. For instance, green credit policies that incentivize bank lending for environmental projects have boosted firm clean technology R&D and adoption in China[23,24]. Stock market development can also facilitate renewable energy innovation and carbon abatement[25,26]. However, few studies specifically explore the influence of financial agglomeration on green innovation. Financial agglomeration arises when financial institutions and markets cluster within certain geographic areas. Major global financial centers like New York, London, Hong Kong and Singapore demonstrate substantial financial agglomeration. Such spatial concentration of financial sector activity generates positive externalities like information exchange, specialized labor pools, and inter-firm linkages that can shape firm strategy, conduct and performance[27]. Theoretically, by pooling green investment expertise and capital, intensifying green technology competition and collaboration, and strengthening eco-innovation signaling and support services, financial agglomerations may enable and incentivize corporate green R&D. However, they may also impose short-term pressures at odds with green progress.
This study may have the following innovations: First, from the research perspective, under the new normal of severe constraints on resources and environment, financial agglomeration can facilitate the swift flow and efficient configuration of financial elements and resources spatially, providing financial support for corporate development, especially green technology R&D and commercialization, which is of great significance for promoting green development and innovation-driven growth. Therefore, this study on the impact of financial agglomeration on GTIE has certain practical value and frontier nature. Second, in measuring green innovation efficiency, this paper reasonably selects input and output indicators based on the connotation of green innovation, and considers incorporating both “expected outputs” and “unexpected outputs” into the measurement system. By constructing a Super-SBM model to measure GTIE, the results can better reflect the essence of efficiency and reduce the deviation caused by previous scholars only considering expected outputs when applying the DEA method. This enriches the calculation research of this indicator, and provides a reference basis for formulating policies and measures to improve GTIE. Third, in terms of research methods, this article establishes a spatial econometric model to empirically analyze the spatial spillover effects of financial agglomeration on green innovation efficiency, making the estimation results more accurate and robust.
2 LITERATURE REVIEW
2.1 Research on Financial Agglomeration
The nature of financial agglomeration places it within the purview of industrial agglomeration, albeit with inherent differences from the latter in terms of agglomeration content, velocity, driving forces, and other fundamental aspects. While prior research has predominantly concentrated on financial centers or industrial agglomeration, recent years have witnessed a shift in scholarly focus towards the domain of financial agglomeration. This transition encompasses inquiries into the drivers of financial agglomeration, measurement methodologies, and assessments of its consequential effects, resulting in a wealth of distinguished research outcomes.
In the examination of the drivers behind financial agglomeration, Kindle[28] pioneered the analysis of the phenomenon using Adam Smith's economies of scale theory, contending that financial agglomeration facilitates savings in working capital for enterprises and expedites investment and financing. Subsequently, Davis[29] corroborated these findings through empirical investigations, revealing that financial institutions indeed achieve greater economies of scale through the agglomeration of financial resources or elements. Tian et al.[30] posit that financial agglomeration effectively enhances liquidity in financial markets, fortifies collaboration among financial institutions, facilitates infrastructure sharing, and stimulates the development of financial auxiliary industries. Furthermore, the information flow theory within financial geography provides a robust framework for explaining the drivers of financial agglomeration. Thrift[31] underscores the pivotal role of non-standardized information in the decision-making processes of financial institutions, attributing the agglomeration of financial resources and elements as a viable solution to mitigate transaction costs arising from non-standardized information. Subsequent scholars have explored various facets of information, such as information asymmetry[32-34], information hinterland[35], and path dependence[36,37], to elucidate the factors contributing to the information dependency leading to financial agglomeration. Although the information flow theory accentuates the significant impact of information flow on financial agglomeration, it does not delineate the different impacts of various information flows. Despite the theory's compelling explanatory power concerning the drivers of financial agglomeration, some scholars have raised questions. They contend that, beyond the influences of economies of scale and information capabilities, the formation drivers of financial agglomeration also hinge on other factors such as geographical elements[38,39], industrial structure[40], city size[41], internet development[42], and government policies[43], with government policies playing a pivotal role in the mechanisms and impact mechanisms of financial agglomeration.
Concerning the measurement of the level of financial agglomeration, a comprehensive review of existing research literature reveals two primary methodologies. One involves the use of a single indicator for assessment, such as location entropy index, spatial Gini coefficient, and geographic concentration index. For instance, Mitton[44] measured the level of financial agglomeration in specific cities in the UK using the Herfindahl index, while McBratney[45] utilized the location entropy index to gauge the level of financial agglomeration across various states in the United States. The other methodology entails establishing a comprehensive indicator evaluation system to holistically measure the degree of regional financial agglomeration. Tian et al.[30] constructed an index system comprising both traditional financial agglomeration and technological financial agglomeration to measure the degree of financial agglomeration. The analysis results indicated that the advantages of eastern Chinese provinces in various aspects of financial agglomeration were more pronounced.
Regarding the effects and assessments of financial agglomeration, the consensus among scholars is that financial agglomeration serves as a catalyst for economic growth. Nazmi[46], for instance, contends that financial industry agglomeration enhances economic growth by improving marginal productivity. Qian et al.[47] find that financial agglomeration essentially fortifies financial functions, improves efficiency, and thereby stimulates economic growth. Furthermore, the role of financial agglomeration extends to promoting the optimization and upgrading of industrial structures. Pandit et al.[48] observed that financial agglomeration in the UK is beneficial for the development of both the financial industry itself and other industries. Martin[34] discovered that regional financial centers formed by the concentration of Irish financial institutions can promote industrial development, particularly in the real estate industry. Zhang[49], focusing on Jiangxi province, empirically tested and found unique economic effects generated by financial agglomeration. These effects, through spatial spillover, effectively drive the optimization and upgrading of industrial structures.
As for the driving forces behind financial agglomeration, two distinct viewpoints emerge. One perspective asserts that economies of scale are the key drivers. Kindleberger[50] found that the financial industry exhibits economies of scale, attracting a concentrated influx of financial enterprises. Porter[51] elucidates that the proximity of specialized institutions such as banks, securities firms, insurance companies, and funds within a financial agglomeration area facilitates the full sharing of economies of scale benefits. The other viewpoint contends that information flow is the crucial driving factor. Thrift[31] emphasizes that financial institutions can only access localized information by being in proximity to information centers, enabling a clear understanding of market information with “local background” and effective risk mitigation. Porteous[52] argues that an "information hinterland" can share the positive externalities of information overflow, reduce information asymmetry caused by spatial distance, and promote the sustainable development of financial agglomeration through the cumulative effects of path dependence. Consequently, to acquire comprehensive, timely, and complete information and to mitigate financial risks stemming from information asymmetry, investors and financial institutions should strive to understand the dynamics of financial agglomeration.
2.2 Research on Green Technological Innovation
In the realm of existing literature, the exploration of GTIE is predominantly centered on two key dimensions: GTIE measurement methods and influencing factors. Concerning GTIE measurement, the focus revolves around two pivotal inquiries: firstly, the methodology for incorporating non-desired output factors such as environmental pollution into the measurement while assessing traditional technological innovation efficiency. Secondly, the identification of measurement methods that precisely align with real-world GTIE scenarios. Presently, scholars predominantly adopt two approaches. One entails computing an environmental pollution index as a dependent variable indicator within a comprehensive index evaluation system. The second approach categorizes environmental pollution as a non-desired output factor within an “input-output” evaluation system[53]. However, the prevailing inclination among scholars is towards the latter approach, exemplified by Fan et al.[54] incorporating environmental pollution as “non-desired output” in their output considerations. Addressing the second question, initially, most scholars primarily utilized traditional Data Envelopment Analysis (DEA) methods based on radial and angular approaches to gauge GTIE. This method, concentrated on measuring inefficiency conditions considering proportional changes in input and output, yields efficiency estimates that are relative rather than absolute. To overcome the limitations of traditional DEA methods, Tone introduced the foundational Slack-Based Measure (SBM) model, effectively mitigating measurement bias. However, the foundational SBM model does not account for negative external effects on the environment during the input production process[55]. Subsequently, scholars began considering the inclusion of non-desired outputs in the aforementioned model to attain more accurate GTIE measurement results.
In the exploration of influencing factors on GTIE, scholars currently investigate its impact from perspectives such as environmental regulations, Research and Development (R&D) investment, and enterprise size[56]. Regarding environmental regulations, three distinct viewpoints emerge. Some argue that environmental regulations effectively stimulate the enhancement of GTIE. For instance, Porter et al.[57] posit that under government environmental regulatory pressure, corporate profitability may decrease, but increased technological innovation and environmental investment can elevate profitability. Li and Du[58] concur, suggesting a positive and constructive influence of environmental regulations on corporate GTIE performance. Conversely, some contend that environmental regulations exert a restraining influence on GTIE to some extent. Jaffe et al.[59], analyzing data from the manufacturing industry, found that environmental regulations gradually weakened the technological innovation capabilities of U.S. manufacturing companies. Fan et al.[54], studying from the perspective of production costs, discovered that environmental regulations have a negative effect on both high and low GTIE regions, positing that environmental regulations diminish the industry competitive advantage of enterprises to some extent. The third perspective suggests a nonlinear relationship between the two, and the nature of this relationship is significantly dependent on the type of environmental regulations. Xiong and Gao[60] observed that administrative and market-oriented environmental regulations contribute to the promotion of GTIE to some extent. In contrast, the relationship between public-participation-oriented environmental regulations and GTIE is nonlinear, exhibiting a trend of decline followed by improvement as the intensity of public-participation-oriented environmental regulations increases. Concerning the impact of R&D investment on GTIE, scholars generally concur that increased R&D investment fosters GTIE improvement. For example, Xu et al.[61] scrutinized the influence of R&D investment on GTIE, with empirical results indicating a significant positive impact of R&D investment on GTIE enhancement. Romer[62] and Mamuneas et al.[63] delved into the effects of government research funding and investment on technological innovation, concluding that research funding stimulates enterprises to innovate, thereby enhancing innovation efficiency. Beyond these perspectives, some scholars have explored the impact of industry structure[17], economic development levels[64], foreign direct investment (FDI)[65], internet development[66], among other factors, on GTIE. However, research from the vantage point of financial agglomeration on GTIE issues is relatively scarce.
3 METHODOLOGY
3.1 Theoretical Mechanism
3.1.1 Industrial Upgrade Effect
It is widely acknowledged in academia that transforming and elevating the industrial structure exerts a propulsive influence on enhancing green innovation. Optimizing and recalibrating the industrial structure frequently necessitates substantial capital and technological inputs[67]. Financial agglomeration can furnish financial support and mitigate risks to catalyze industrial structural upgrading within a region. Financial agglomeration can stimulate industrial upgrading by harnessing the agglomeration effect of industries. According to industrial cluster effect theory, industrial agglomeration adjusts the characteristics of the industrial structure within the cluster to a certain degree, engendering a more optimal industrial layout. Financial and industrial agglomeration are intricately interlinked. On one hand, financial agglomeration supplies capital indispensable for industrial cluster expansion. Analogously, the presence of industrial clusters implies similarity in the service needs of financial institutions, enabling elevated specialization, lower information costs, and mitigated information asymmetry to inform targeted policies that can further promote cluster growth. Moreover, seamless information exchange diminishes concerns about insufficient fund liquidity that render investors cautious towards long-term, high-return projects often constituting innovation initiatives. The proliferation of such innovative efforts intrinsically strengthens the impetus for industrial restructuring and upgrading within financial agglomeration zones. On the other hand, industrial clusters can foster financial agglomeration by effectuating requisite spatial conditions. Governments can implement encouraging policies like financial deregulation and tax incentives to attract diverse financial institutions into industrial clusters, thereby engendering advantageous environments for financial agglomeration formation and growth. Consequently, by spurring industrial clustering and upgrading, financial agglomeration can compel enterprises across the industry value chain to undertake technological enhancements to garner surplus value, with continual innovation elevating overall innovation efficiency. As green development policies and environmental supervision intensify, industrial upgrading will optimize spatial factor allocation and resource efficiency, furnishing “structural dividends” for green, low-carbon economic expansion, consequently enhancing GTIE within financial agglomeration areas. Therefore, driven by profit motives, industrial structures will persistently adjust and optimize under financial agglomeration, improving technological innovation through Pareto enhancement effects and elevating GTIE.
3.1.2 Information Diffusion Effect
The specialized, complex, path-dependent, and uncertain nature of technological innovation entails that even assiduous ordinary investors cannot guarantee the veracity of information garnered regarding corporate innovation pursuits. However, information deficiencies and asymmetry stymie the financial system's capability to effectively satisfy innovation needs. The information diffusion effect of financial agglomeration chiefly denotes greater disclosure and transparency of innovation entity knowledge, dismantling inadequate and asymmetric information channels. The intense concentration of financial intermediaries within financial agglomeration zones accelerates the accumulation and circulation of diverse information on innovation actors. This furnishes ordinary investors ready access to valid entity knowledge, assisting prudent investment decisions. In essence, financial agglomeration enables investors to harness “information externalities”. Taking banking as an example, the course of engagement with innovation entities furnishes banks insights into operational and project dynamics, permitting effective appraisals of risks and potentials to direct financing towards promising innovation initiatives, easing corporate financing pressures. Concurrently, positive signaling via financial information disclosure apprises markets of corporate strengths. Additionally, market responses to innovation commercialization provide feedback on enterprise capabilities, enlightening investors. For enterprises, developed transportation and financial systems within clusters offer accessible avenues to garner investor information, lowering search costs. Competitor insights also spur efficiency enhancement.
3.1.3 Financing Constraint Alleviation Effect
Well-functioning financial systems furnish stable incentives, diversify risks, and share opportunities to assuage corporate innovation financing constraints, igniting sustainable innovation[68]. First, the intricate, capital-intensive nature of innovation necessitates financial aggregation mechanisms to pool fragmented capital into innovation spheres, constituting a conduit bridging capital demand and supply. Essentially, financial agglomeration attenuates capital constraints to enable stable, sustained innovation processes that successively raise economic efficiency. By identifying and supporting capable entrepreneurs through financial intermediation, innovation is fostered[69]. Second, improved financial systems aid risk diversification. Levine[70] underscored financial markets dispersing risks throughout innovation progressions. Specifically, uncertainties render corporate innovation susceptible to temporally dispersed risks, which capital markets can ameliorate by dispersing risk overinvestment horizons, heightening success prospects. Saint-Paul[71] noted financial services alleviate risk-averse corporate apprehensions about potential innovation capital deficiencies, compelling adoption of efficient technologies. Overall, financial agglomeration can elevate GTIE through industrial upgrading, information diffusion, and financing constraint alleviation effects.
3.2 Model Design
Based on the research hypotheses and variable selection mentioned above, we set up the basic regression model of Equation (1) to study the impact of financial agglomeration on the regional green innovation.
$$ {GTIE}_{i,t}=\alpha +{\beta }_{1}{FIN}_{i,t}+{\beta }_{2}{X}_{i,t}+{\epsilon }_{i,t}\left(1\right)$$
where denotes the regional green innovation, denotes the financial agglomeration, denotes the control variable, α is the constant term and denotes the random error term.
Second, this study sets up the following Spatial Durbin Model (SDM) to test the spatial spillover effect of the financial agglomeration on the regional GTIE:
$$ {GTIE}_{i,t}=\rho {W}_{i,j}\ast {GT}_{j,t}+\beta \times {FIN}_{i,t}+\theta {W}_{i,j}$$
$$ \times {FIN}_{i,t}+\alpha {X}_{i,t}+\gamma {W}_{i,j}\times {X}_{j,t}+{\epsilon }_{i,t}\left(2\right)$$
In Equation (2), i represents province and t represents year. denotes the spatial weight matrix. First, following Equation (3), this study establishes the geographic distance weight matrix based on the straight-line distance between provincial capital cities. Second, following Equation (4), the 0-1 neighborhood matrix is constructed based on the Queen's neighborhood principle. In this matrix, region i adjacent to the region j is set to 1 and vice versa is set to 0.
$$ \begin{array}{c}{W}_{ij}=\left\{\begin{array}{c}\frac{1}{{d}_{ij}}i\ne j\\ 0i=j\end{array}\right.\left(3\right)\end{array}$$
|
3.2.2 Variable Description
Financial agglomeration: Investigating the impact of financial agglomeration on GTIE necessitates accurately calibrating agglomeration levels. Two primary approaches exist for quantifying financial agglomeration. First, deploying singular indicators such as locational entropy indices, spatial Gini coefficients, and geographic concentration ratios. Second, constructing composite indicator systems encompassing multiple metrics. This research adopts the latter approach, with specific indicators delineated in Table 1. Regarding calculation, we first apply the entropy method to determine the weight of each indicator across regions. Taking a weighted sum furnishes the financial agglomeration index for each region. Finally, the derived financial agglomeration index serves as a comprehensive measure of regional financial agglomeration levels.
Table 1. Financial Agglomeration Index
|
Specific Indicators |
Unit |
Financial Agglomeration |
Balance of various deposits in banking and financial institutions |
1 billion |
Balance of various loans from banking and financial institutions |
1 billion |
|
Total market value of stocks |
1 billion |
|
Insurance premium income from all insurance institutions |
1 billion |
|
Number of employees in the financial industry |
10 thousand people |
|
Number of banking institutions |
1 unit |
|
Number of domestic listed companies |
1 unit |
|
Total number of insurance institutions |
1 unit |
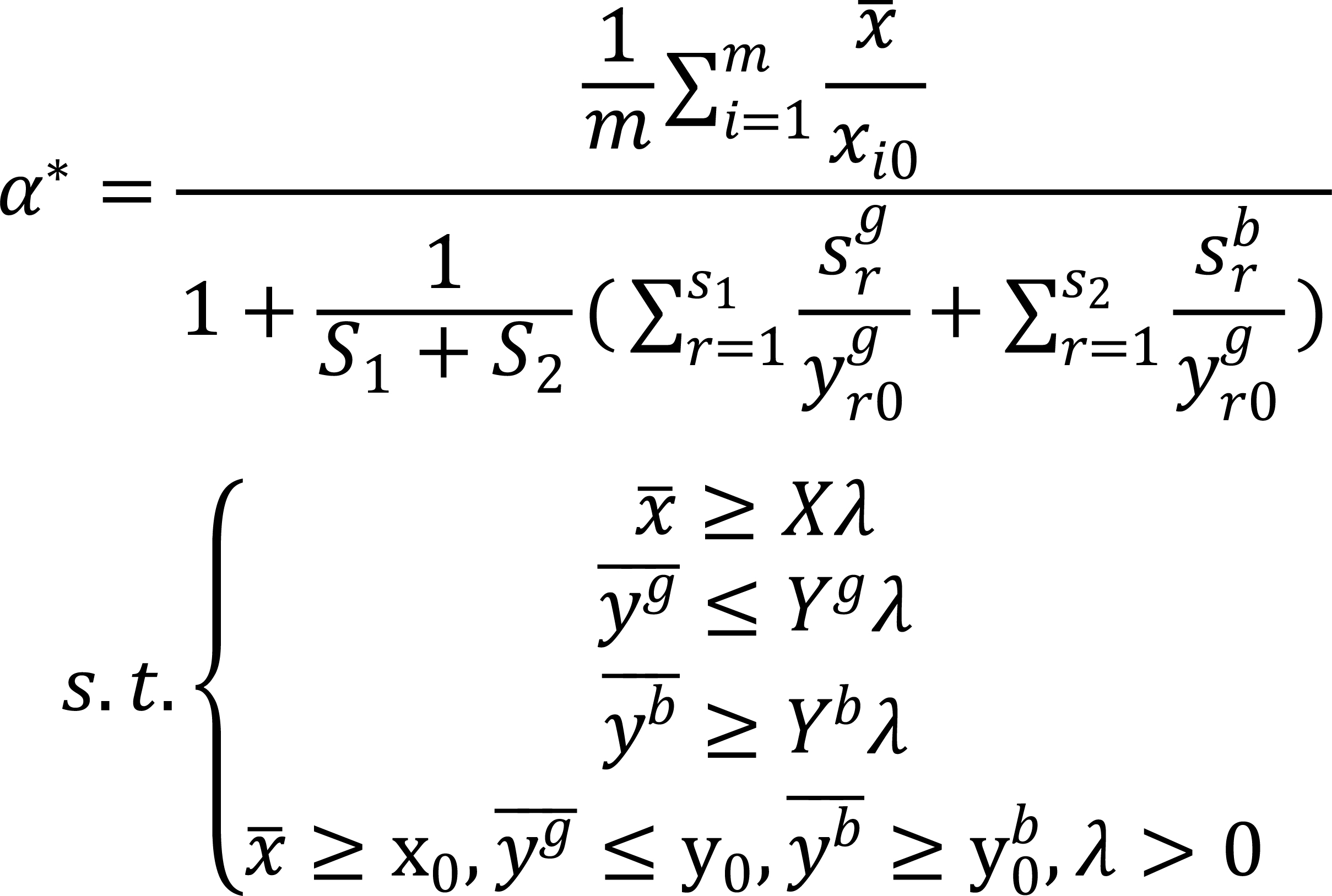
Green innovation efficiency: Currently, most scholars predominantly utilize data envelopment analysis (DEA) models to gauge innovation efficiency, employing the resultant comprehensive efficiency score or Malmquist productivity index as the efficiency value. Despite advantages such as not pre-setting weights or specifying production functional forms and scale invariance, DEA models regard all random disturbances as efficiency factors without considering statistical testing issues. Additionally, assessment outputs are sensitive to outliers and sample sizes. For inefficiency measurement, DEA models only consider equal proportion input-output variations, rendering estimated efficiency values relative rather than absolute. Moreover, the exact or asymptotic distributions of efficiency estimates from conventional radial and non-radial DEA models are generally intractable, unable to tackle input-output slacks. Hence, to reduce traditional DEA errors, Tone proposed the base Slack-Based Measure (SBM) model, effectively overcoming radial versus non-radial measurement biases. However, base SBM models do not account for negative environmental externalities from production inputs. Therefore, in measuring innovation efficiency, we consider both intended and unintended outputs. The undesirable SBM model is:
$$ {\alpha }^{\ast }=\frac{\frac{1}{m}\sum _{i=1}^{m}\frac{\stackrel{-}{x}}{{x}_{i0}}}{1+\frac{1}{{S}_{1}+{S}_{2}}(\sum _{r=1}^{{s}_{1}}\frac{{s}_{r}^{g}}{{y}_{r0}^{g}}+\sum _{r=1}^{{s}_{2}}\frac{{s}_{r}^{b}}{{y}_{r0}^{g}})}$$
$$ s.t.\left\{\begin{array}{c}\stackrel{-}{x}\ge X\lambda \\ \stackrel{-}{{y}^{g}}\le {Y}^{g}\lambda \\ \stackrel{-}{{y}^{b}}\ge {Y}^{b}\lambda \\ \stackrel{-}{x}\ge {{x}}_{0},\stackrel{-}{{y}^{g}}\le {{y}}_{0},\stackrel{-}{{y}^{b}}\ge {{y}}_{0}^{b},\lambda >0\end{array}\right.$$
The improved super-efficient SBM-Undesirable model can not only incorporate undesired outputs into the efficiency study, but also compare the efficiency between the effective evaluation units, making the DMU efficiency values more accurate and scientific. Therefore, this paper uses the ultra-efficient SBM-Undesirable model to measure the GTIE of various provinces and regions in China under environmental constraints. The calculation methods for innovation input, innovation output, and unexpected output are as follows (Table 2).
Table 2. Input and Output Indicators on GTIE
|
Specific Indicators |
Unit |
Green innovation investment |
R&D personnel full-time equivalent |
10,000 people/year |
R&D capital stock |
RMB 100mn |
|
Expected output of green innovation |
Patent application acceptance volume |
1 unit |
Technical market contract amount |
RMB 100mn |
|
New product sales revenue |
RMB 100mn |
|
Unexpected output of green innovation |
Industrial wastewater discharge by region |
10,000 tons |
Emissions of exhaust gases from various industrial regions |
Ton |
|
Industrial smoke (powder) dust emissions by region |
10,000 tons |
Control Variables: regional infrastructure level (LNINV): The amount of investment in social fixed assets is used to measure the level of regional infrastructure. Government R&D support (SCI): This article uses the proportion of education and technology expenditures by each province to the total government financial expenditure. Economic openness (LNTRA): This article uses the total import and export volume of destinations and sources within each province to represent. Environmental regulation (ENV): This article uses industrial pollution emission data from various provinces (cities, autonomous regions) and uses the entropy method to estimate the comprehensive index of environmental regulation. Human capital (EDU): This article uses the per capita education years of each province to measure (Table 3).
Table 3. Descriptive Statistical Analysis of Variables
Variables |
Obs |
Mean |
SD |
Min |
Max |
Green technology innovation efficiency |
360 |
0.675 |
0.403 |
0.054 |
1.961 |
Financial agglomeration |
360 |
0.231 |
0.206 |
0.005 |
0.866 |
Industrial structure upgrading |
360 |
0.570 |
0.068 |
0.402 |
0.754 |
Financing constraints |
360 |
0.098 |
0.380 |
0.075 |
0.118 |
Information diffusion |
360 |
0.714 |
0.081 |
0.626 |
0.860 |
Infrastructure level |
360 |
2.096 |
0.162 |
1.402 |
2.351 |
Government R&D support |
360 |
0.180 |
0.030 |
0.106 |
0.262 |
Environmental regulatory |
360 |
0.518 |
0.531 |
0.000 |
2.594 |
Human capital |
360 |
9.983 |
1.030 |
8.085 |
13.640 |
Economic openness |
360 |
17.614 |
1.593 |
13.277 |
20.900 |
4 EMPIRICAL RESULTS
According to the results in Table 4, the coefficient of financial agglomeration’s impact on GTIE is significantly positive at the 1% level in model (1), indicating that the development of financial agglomeration has a promoting effect on enhancing GTIE. On the basis of model (1), more control variables are gradually added to the model. The coefficients of financial agglomeration's impact on GTIE are still significantly positive at the 1% level. Therefore, we can draw a preliminary conclusion: the development of financial agglomeration has a positive effect on promoting GTIE. That is, with the improvement of financial agglomeration level, GTIE also shows an upward trend. From the results of control variables, the estimated coefficients of regional infrastructure level, government R&D funding, economic openness, and human capital are significantly positive at the 1% level, indicating that regional infrastructure level, economic openness degree, and human capital are positive influencing factors of GTIE, and they significantly promote domestic green innovation. In addition, the estimated coefficient of environmental regulation intensity is significantly negative at the 1% level, indicating that environmental regulation hinders domestic green innovation. Stringent environmental regulations can also have adverse effects. Excessively high pollution charges may crowd out enterprises' investment in green innovation and interfere with enterprises' green technology R&D environment, which may ultimately reduce GTIE. The above conclusions are basically consistent with existing research findings.
Table 4. Basic Regression Results
Variables |
(1) |
(2) |
(3) |
(4) |
(5) |
(6) |
FA |
1.426*** |
1.230*** |
0.969*** |
0.910*** |
0.649*** |
0.540*** |
|
(15.131) |
(4.006) |
(8.122) |
(7.418) |
(4.620) |
(4.010) |
LNINV |
|
3.259*** |
2.141*** |
2.080*** |
1.876*** |
1.579*** |
|
|
(9.137) |
(5.647) |
(5.560) |
(5.378) |
(4.567) |
ENV |
|
|
-0.244*** |
-0.247*** |
-0.220*** |
-0.260*** |
|
|
|
(-9.839) |
(-10.008) |
(-8.362) |
(-8.236) |
SCI |
|
|
|
1.001 |
1.532** |
1.009 |
|
|
|
|
(1.627) |
(2.538) |
(1.485) |
EDU |
|
|
|
|
0.076*** |
0.082*** |
|
|
|
|
|
(4.658) |
(4.007) |
LNTRA |
|
|
|
|
|
0.033*** |
|
|
|
|
|
|
(2.740) |
Constant |
0.335*** |
0.208*** |
0.322*** |
0.160 |
-0.716*** |
-1.204*** |
|
(11.422) |
(7.663) |
(10.111) |
(1.520) |
(-3.259) |
(-4.694) |
R2 |
0.615 |
0.632 |
0.647 |
0.692 |
0.660 |
0.605 |
Observations |
360 |
360 |
360 |
360 |
360 |
360 |
Notes: ***, ** or * denotes significance at the level of 1%, 5% or 10%, respectively.
4.2 Spatial Autocorrelation Test
4.2.1 Global Moran’s Index
The formula for calculating Moran’s Index, as shown in Equation (5):
$$ I=\frac{n\sum _{i=1}^{n}\sum _{j=1}^{n}{W}_{ij}\left({x}_{i}-{\stackrel{-}{x}}_{i}\right)\left({x}_{j}-{\stackrel{-}{x}}_{j}\right)}{\sum _{i=1}^{n}\sum _{j=1}^{n}{W}_{ij}\sum _{i=1}^{n}{\left({x}_{i}-{\stackrel{-}{x}}_{i}\right)}^{2}}\left(5\right)$$
Where
, and denote the observed values of region i and region j respectively, and Wij is the spatial weight matrix. Moran’s index, which range from[-1, 1], indicates a positive correlation between variables when greater than 0, a negative correlation when less than 0, and no spatial autocorrelation when equal to 0. The absolute value of Moran’s I determines the degree of spatial correlation, with larger absolute values signifying a stronger spatial correlation.
The global Moran’s index and its significance of the regional green innovation of 30 provinces in China from 2010 to 2021 are shown in Table 5. The global Moran's index test was conducted by applying the 0-1 matrix (W1) and the geographic distance matrix (W2), respectively. The global Moran's index under both matrices is greater than 0 and significant at the 10% significance level. This suggests the spatial distribution of regional green innovation in the 30 provinces in China shows a notable and positive spatial correlation. Consequently, the spatial correlation of regional green innovation needs to be considered.
Table 5. Global Moran’s Index of GTIE
Year |
W1 |
W2 |
||
Moran’s I |
P |
Moran’s I |
P |
|
2010 |
0.163 |
0.082* |
0.090 |
0.002*** |
2011 |
0.171 |
0.089* |
0.079 |
0.000*** |
2012 |
0.184 |
0.086* |
0.086 |
0.000*** |
2013 |
0.205 |
0.041** |
0.084 |
0.002*** |
2014 |
0.210 |
0.033** |
0.076 |
0.001*** |
2015 |
0.194 |
0.074* |
0.067 |
0.002*** |
2016 |
0.260 |
0.020** |
0.080 |
0.000*** |
2017 |
0.257 |
0.023** |
0.098 |
0.002*** |
2018 |
0.282 |
0.001*** |
0.110 |
0.000*** |
2019 |
0.266 |
0.016** |
0.092 |
0.001*** |
2020 |
0.273 |
0.015** |
0.106 |
0.002*** |
2021 |
0.284 |
0.018** |
0.099 |
0.001*** |
Notes: ***, ** or * denotes significance at the level of 1%, 5% or 10%, respectively.
4.2.2 Moran’s Index
To assess the spatial clustering of regional green innovation levels, we also calculate the local Moran’s index using the 0-1 spatial weight matrix. We found that the dispersion of the local Moran index is mainly concentrated in the first and third quadrants, indicating significant regional spatial clustering of green innovation levels in each region. The spatial distribution of the 30 Chinese provinces in different agglomeration types is depicted in Table 6, based on the localized scatter plots from 2011 and 2021. From Table 6, it can be found there are 25 provinces with the original type unchanged, accounting for 83.33% of all provinces. Five provinces have undergone a change in their agglomeration type: Beijing has shifted from an HH to an HL agglomeration type, while Heilongjiang and Jilin have shifted from an HH to an LH agglomeration type. Guizhou has shifted from an LL to an LH agglomeration type, and Yunnan has shifted from an HL to an LL agglomeration type. Due to variations in green innovation policies, scientific and technological advancements, and resource advantages among the provinces, a spatial dynamic process of mutual competition and coordinated development is gradually emerging. This process leads to distinctive spatial distribution characteristics in the green innovation of each province.
Table 6. Spatial Distribution of 30 Provinces in Four Quadrants of Moran’s Scatterplot
Year |
HH Type |
LH Type |
LL Type |
HL Type |
2010 |
Beijing, Tianjin, Hebei, Heilongjiang, Jilin, Liaoning, Shandong, Henan, Shanghai, Jiangsu, Zhejiang, Anhui, Fujian, Hunan, Hubei |
Shanxi, Jiangxi, Inner Mongolia, Hainan |
Guangxi, Guizhou, Gansu, Qinghai, Ningxia, Xinjiang |
Guangdong, Shaanxi, Chongqing, Sichuan, Yunnan |
2021 |
Tianjin, Hebei, Liaoning, Shandong, Henan, Shanghai, Jiangsu, Zhejiang, Anhui, Fujian, Hunan, Hubei |
Shanxi, Jiangxi, Inner Mongolia, Jilin, Hainan, Guizhou, Heilongjiang |
Guangxi, Qinghai, Ningxia, Gansu, Xinjiang, Yunnan |
Guangdong, Shaanxi, Chongqing, Sichuan, Beijing |
4.3 Analysis of Spatial Econometric Model
4.3.1 LM Test and Wald Test
As shown in Table 7, the p-values of the LM and R-LM tests for spatial errors are significant at 1% confidence level by the LM test, while the R-LM test for spatial lag is not significant. We further subject the model to a Wald test to determine if it degenerates into a spatial lag model. The results of the Wald test confirm the SDM does not change into either a spatial error model or a spatial lag model at the 1% significance level. Therefore, the Spatial Durbin Model is selected for the following analysis.
Table 7. The Results of LM Test and Wald Test
Test |
Statistic |
P |
Spatial error: |
|
|
Moran’s I |
61.525 |
0.000*** |
Lagrange multiplier |
920.577 |
0.000*** |
Robust Lagrange multiplier |
540.245 |
0.000*** |
Spatial lag: |
|
|
Lagrange multiplier |
458.401 |
0.000*** |
Robust Lagrange multiplier |
0.070 |
0.764 |
Wald: |
|
|
SDM→SAR |
|
0.000*** |
SDM→SEM |
|
0.000*** |
Notes: ***, ** or * denotes significance at the level of 1%, 5% or 10%, respectively.
4.3.2 Analysis of Spatial Effects
According to the results of the fixed-effect Spatial Durbin Model in Table 8, the regression coefficient of FA is significantly positive, indicating the synergistic effect of financial agglomeration can promote the improvement of GTIE. This promotion effect is attributed to the external industrial upgrading effect, information diffusion effect, and optimized capital allocation generated by financial agglomeration.
The Table 8 shows the estimation results of the decomposition of spatial spillover effects based on the 0-1 and distance weight matrix. The table demonstrates the direct, indirect, and total spillover effects are statistically significant at the 1% confidence level, with positive coefficients. The study reveals the financial agglomeration has a favorable influence on the green innovation of the local region. Additionally, it has a noteworthy positive spillover effect on the neighboring regions’ green innovation.
Based on the spillover effect coefficient, the promotion effect of green innovation in neighboring regions is greater than that in the local region. Further, financial agglomeration has a more prominent driving effect on green innovation in neighboring regions.
Table 8. Analysis of the Spatial Durbin Model
Variables |
(1) |
(2) |
Variables |
(1) |
(2) |
FA |
0.180** |
0.237*** |
W*FA |
0.349*** |
1.704*** |
|
(1.977) |
(6.832) |
|
(8.817) |
(14.351) |
LNINV |
0.033*** |
0.008 |
Spatial_rho |
0.523*** |
0.108*** |
|
(3.374) |
(0.807) |
|
(9.370) |
(3.424) |
ENV |
-0.070*** |
0.010 |
sigma2_e |
0.007*** |
0.008*** |
|
(-3.952) |
(1.061) |
|
(14.267) |
(14.119) |
SCI |
-0.020* |
-0.120*** |
Direct effect |
0.139*** |
0.295*** |
|
(-1.843) |
(-10.431) |
|
(3.435) |
(7.660) |
EDU |
0.020 |
0.077*** |
Indirect effect |
0.752*** |
1.917*** |
|
(1.091) |
(4.808) |
|
(5.316) |
(13.489) |
LNTRA |
-0.072 |
-0.000 |
Total effect |
0.891*** |
2.211*** |
|
(-1.548) |
(-0.001) |
|
(5.628) |
(13.959) |
_cons |
-2.362*** |
-0.517*** |
R2 |
0.9857 |
0.9945 |
|
(-9.771) |
(-9.624) |
N |
360 |
360 |
Notes: ***, ** or * denotes significance at the level of 1%, 5% or 10%, respectively.
4.4 Robustness Test
To test the robustness of the model design and analysis results, this study re estimated the model using green patent authorization as a substitute variable for green innovation efficiency. As shown in Table 9, after replacing the dependent variable, the coefficient of the core explanatory variable remains positive. Compared to previous analysis, the coefficient values are slightly larger, which enhances the robustness of the conclusions drawn from the basic regression results.
Table 9. Robustness Test Results
Variables |
W1 |
W2 |
FA |
0.129*** |
0.146* |
|
(2.921) |
(1.753) |
LNINV |
-0.002*** |
-0.001* |
|
(-3.160) |
(-1.822) |
ENV |
0.025*** |
0.019** |
|
(2.849) |
(2.005) |
SCI |
0.011 |
0.010 |
|
(1.201) |
(0.904) |
EDU |
-0.702*** |
-0.507*** |
|
(-8.366) |
(-4.730) |
LNTRA |
0.066*** |
0.048*** |
|
(5.694) |
(3.488) |
_cons |
-0.089** |
0.006 |
|
(-2.282) |
(0.147) |
W*FA |
0.039** |
0.067*** |
|
(2.433) |
(2.705) |
sigma2_e |
0.001*** |
0.001*** |
|
(14.993) |
(14.982) |
N |
360 |
360 |
Notes: ***, ** or * denotes significance at the level of 1%, 5% or 10%, respectively.
4.5 Heterogeneity Analysis
Through a thorough examination of the literature, discernible geographical disparities in the impact of financial agglomeration on GTIE have been identified. The spatial distribution of the influence of financial agglomeration levels on GTIE across China’s 30 provinces reveals a distinctive pattern characterized by heightened impact within central cities and diminished influence in peripheral areas. This pattern is particularly pronounced in regions where Beijing and Shanghai function as financial hubs, such as the Beijing-Tianjin-Hebei area, as well as provinces like Jiangsu, Zhejiang, and Shanghai. From a regional perspective, areas with elevated levels of financial agglomeration remain concentrated in the eastern coastal provinces. In contrast, provinces in the central and western parts of China exhibit lower levels of financial agglomeration compared to their eastern counterparts.
Scholarly investigations into the relationship between financial agglomeration and green technology have uncovered regional, financial, and economic heterogeneity in the observed promotion effects. Furthermore, significant variations exist in factors influencing technological levels across different regions in China, including economic development, infrastructure, and education levels. Consequently, it is imperative to conduct regional examinations using conventional location division methods, categorizing the entire sample into three distinct regions: eastern, central, and western. This approach facilitates an exploration of the geographical disparities in the impact of financial agglomeration on GTIE. Empirical estimation results, as presented in Table 10, reveal that the impact coefficient of financial agglomeration on GTIE is consistently and significantly positive across all three regions. However, there are discernible differences in the magnitude of the impact coefficients, with the western region exhibiting the highest coefficient, followed by the central region, and the eastern region displaying the smallest coefficient. This observation suggests that financial agglomeration effectively promotes GTIE in all three regions, underscoring a distinct geographical heterogeneity in the promotion effects. Specifically, the western region demonstrates the highest promotion effect, followed by the central region, while the eastern region exhibits the lowest. These results indicate that higher levels of financial agglomeration do not necessarily correlate with stronger promotion effects on GTIE. This discrepancy may be attributed to the diminishing marginal utility of financial agglomeration in the eastern region, whereas the central and western regions are still in a phase of increasing marginal utility. A strategic reallocation of financial resources and service capabilities from the eastern region to the central and western regions could enhance the overall level of GTIE.
Table 10. Results of Spatial Heterogeneity Analysis
Variables |
Eastern Region |
Central Region |
Western Region |
FA |
0.480*** |
0.593*** |
0.619*** |
|
(2.358) |
(5.281) |
(4.904) |
LNINV |
1.820*** |
8.786*** |
2.230*** |
|
(3.133) |
(6.724) |
(6.469) |
ENV |
-0.181*** |
-0.060 |
-0.287*** |
|
(-4.006) |
(-0.616) |
(-5.736) |
SCI |
2.841*** |
-3.146 |
-2.031*** |
|
(2.891) |
(-1.354) |
(-3.165) |
EDU |
0.116*** |
-0.460*** |
-0.049* |
|
(3.607) |
(-4.598) |
(-1.981) |
LNTRA |
-0.021 |
-0.658*** |
0.139*** |
|
(-0.794) |
(-6.185) |
(6.055) |
_cons |
-0.619 |
15.957*** |
-0.960*** |
|
(-0.783) |
(6.851) |
(-2.874) |
R2 |
0.680 |
0.752 |
0.610 |
N |
132 |
88 |
132 |
Notes: ***, ** or * denotes significance at the level of 1%, 5% or 10%, respectively.
5 CONCLUSION
Employing 2010-2021 provincial panel data across 30 Chinese provinces, this study investigates the spatial spillover effects of financial agglomeration on green innovation using the spatial Durbin model. The key conclusions are as follows: The regional green innovation efficiency of the 30 provinces exhibits significant positive spatial autocorrelation, indicating a degree of spatial clustering among regions. Financial agglomeration markedly enhances regional green innovation levels. This impact not only improves local green innovation, but positively influences neighboring regions’ green innovation efficiency. Regionally, financial agglomeration significantly promotes GTIE improvements across all three major areas, yet the effect demonstrates geographic heterogeneity, with western regions exhibiting the highest gains, followed by central then eastern regions. In the process of financial agglomeration influencing GTIE, industrial restructuring, technology diffusion, and alleviated financing constraints significantly mediate the effect. According to these findings, several policy recommendations are proposed:
First, facilitating inter-regional financial flows can balance financial agglomeration disparities between regions. Substantial divergences in geographical locale, economic advancement, and resource endowments have engendered pronounced agglomeration differences among eastern, central and western regions presently. The location and economic dominance of eastern regions enables advanced financial development that can effectively pool financial capital to fuel agglomeration and attain elevated concentration levels. In contrast, central and western areas lack such advantages, resulting in weaker agglomeration. Hence, to narrow regional agglomeration differences, fully harnessing the demonstration effect of eastern region financial agglomeration on facilitating GTIE necessitates actively promoting inter-regional financial exchange, encouraging strengthened financial ties and exchanges between regions, and sharing financial resources. Where needed, pairing assistance can establish cooperative financial networks to help relatively underdeveloped areas gain financial resources through a “siphon effect”, thereby optimizing financial resource allocation and accelerating overall financial sector aggregation to better promote green technology.
Second, differentiated regional financial development strategies adapted to local conditions are imperative. Currently, the eastern region has formed several sizeable financial agglomeration hubs with burgeoning growth momentum. Although the spillover effect confers wider industrial gains, large-scale homogeneous financial sector concentration risks engendering vicious competition and diminishing marginal returns due to agglomeration threshold effects. Accordingly, governments could strategically reformulate financial development policies, regulating market conduct and competition within clusters, elevating participation thresholds, expediting redundant industry consolidation, actively cultivating ancillary financial industries, and emphasizing ecological protection amid financial expansion. Concurrently, robust financial oversight and preferential policies that assist innovation-focused, eco-friendly firms warrants implementation to tilt financial resources towards green innovation enterprises, mitigating R&D uncertainties arising from prolonged technology timelines and enabling smooth innovation for green promotion. Owing to various factors, most central and western financial hubs, despite attaining some scale, remain relatively uncompetitive, with insufficient agglomeration for enterprise green innovation. Therefore, enhancing financial market environments and attracting expertise and resources could establish additional competitive financial agglomeration hubs. Meanwhile, optimizing fiscal expenditure structure to devote more policy support and financing towards technological innovation across less developed areas, from infrastructure to R&D grants, tax incentives to patent subsidies, can help narrow regional disparities. Simultaneously instilling sustainable philosophies that synchronously develop industrial innovation and environmental objectives from the outset can transform corporate mentalities towards green, clean manufacturing, redirecting China’s innovation growth strategy from purely quantitative expansion to joint qualitative enhancement.
Third, implementing green finance strategies that support eco-enterprise financing and assuage capital constraints is imperative. While elevating financial development, the environmental ramifications of intensified agglomeration must be duly considered, with sustained policy efforts on green finance for ecological improvement. Supporting green corporate financing accessibility can be achieved through: devising preferential policies like tax breaks to spur financial institutions into continuously furnishing green financial products and services catering to green funding needs. Proactively embracing social responsibilities to recalibrate green credit provision while vigorously developing direct financing instruments like green bonds, insurance and funds that reinforce green innovation investment. Expanding green financial product and service availability on the premise of safeguarding quality, enabling wider enterprise and consumer participation; vigorously promulgating relevant policies and measures to channel greater social capital flows towards green innovation firms, integrating financial inclusion and sustainability; Constructing comprehensive evaluation frameworks that harness structural metrics to ensure adequate credit flows towards green, high-technology industries within jurisdictions. Through these multifaceted efforts, capital can be strategically redirected from obsolete, pollutive entities towards advanced, eco-conscious sectors to engender structural optimization and industrial upgrading.
As the study on the impact of financial agglomeration on green innovation unfolds, there are numerous avenues for further exploration and in-depth analysis. The following future research directions are proposed to expand the understanding of this complex relationship and contribute to the ongoing discourse on sustainable development. Firstly, a dynamic analysis of financial agglomeration trends over time could offer valuable insights. Investigating how the dynamics of financial structures and policies evolve and impact green innovation can enhance our understanding of the long-term effects. This longitudinal approach would allow researchers to identify key turning points and assess the adaptability of financial agglomerations to changing circumstances. Secondly, conducting cross-national comparative studies would provide a nuanced perspective on the relationship between financial agglomeration and green innovation. By exploring variations across different countries or regions, researchers can discern the influence of diverse regulatory environments, cultural factors, and economic development levels on the observed dynamics. Additionally, future research should delve into the role of government policies in shaping this relationship. An in-depth analysis of the effectiveness of policy instruments in promoting sustainable development and green innovation could offer practical insights for policymakers and stakeholders. Technological spillover effects within financial agglomerations present another promising avenue for exploration. Understanding how advancements in green technology within one sector can positively impact related industries can inform strategies to enhance technological diffusion and collaboration. Moreover, a comprehensive assessment of the broader socioeconomic and environmental impacts of increased green innovation resulting from financial agglomeration is essential. Metrics that go beyond economic gains, considering factors such as job creation, resource efficiency, and ecological sustainability, will provide a holistic view of the outcomes. These future research directions aim to foster a deeper understanding of the multifaceted relationship between financial agglomeration and green innovation, contributing to the advancement of knowledge in the field of sustainable finance and development.
Acknowledgements
This work was supported by the National Natural Science Foundation Youth Project of China (No. 22614023).
Conflicts of Interest
The author declared no conflict of interest.
Author Contribution
Xian G conducted the investigation and drafted the original manuscript.
Data Availability
All data generated or analyzed during this study are included in this published article.
Copyright Permissions
Copyright © 2024 The Author(s). Published by Innovation Forever Publishing Group Limited. This open-access article is licensed under a Creative Commons Attribution 4.0 International License (https://creativecommons.org/licenses/by/4.0), which permits unrestricted use, sharing, adaptation, distribution, and reproduction in any medium, provided the original work is properly cited.
Abbreviation List
ENV, Environmental regulatory
EDU, Human capital
FA, Financial agglomeration
GTIE, Green technology innovation efficiency
LNINV, Industrial structure upgrading
LNTRA, Economic openness
R&D, Research and development
SCI, Government R&D support
References
[1] Pandey N, de Coninck H, Sagar AD. Beyond technology transfer: Innovation cooperation to advance sustainable development in developing countries. WIREs Energ Environ, 2022; 11: e422.[DOI]
[2] Yin S, Zhao Z. Energy development in rural China towards clean energy system: Utilization status, co-benefit mechanism and countermeasures. Front Energy Res, 2023; 11: 1283407.[DOI]
[3] Lin T, Wu W, Du M et al. Does green credit really increase green technology innovation? Sci Progress, 2023; 106: 00368504231191985.[DOI]
[4] Dong T, Yin S, Zhang N. The interaction mechanism and dynamic evolution of digital green innovation in the integrated green building supply chain. Systems, 2023; 11: 122.[DOI]
[5] Trabelsi E. Welfare fragmented information effects: The cost-benefit analysis and Trade-offs. J Inf Econ,2024; 2: 1-32.[DOI]
[6] Xie G, Cui Z, Li K. Pathways to carbon neutrality: how do government corruption and resource misallocation affect carbon emissions? Environ Sci Pollut R, 2023; 30: 40283-40297.[DOI]
[7] Yin S, Dong T, Li B et al. Developing a conceptual partner selection framework: digital green innovation management of prefabricated construction enterprises for sustainable urban development. Buildings, 2022; 12: 721.[DOI]
[8] Ren S, Du M, Bu W et al. Assessing the impact of economic growth target constraints on environmental pollution: Does environmental decentralization matter? J Environ Manag, 2023; 336: 117618.[DOI]
[9] Yin S, Yu Y. An adoption-implementation framework of digital green knowledge to improve the performance of digital green innovation practices for industry 5.0. J Clean Prod, 2022; 363, 132608.[DOI]
[10] Ren S, Hao Y, Wu H. Government corruption, market segmentation and renewable energy technology innovation: Evidence from China. J Environ Manag, 2023; 300, 113686.[DOI]
[11] Van Vaerenbergh P. Greening Trade Remedies: Environmental Considerations in the Law and Practice of WTO Trade Remedies. Springer Nature, 2023.[DOI]
[12] Wicki S, Hansen EG. Green technology innovation: Anatomy of exploration processes from a learning perspective. Bus Strateg Environ, 2019; 28: 970-988.[DOI]
[13] Lin T, Du M, Ren S et al. How do green bonds affect green technology innovation? Firm evidence from China. Green Financ, 2022; 4: 492-511.[DOI]
[14] Yang Y, Khalid NA. Do policy coordination dynamics matter? A quantitative analysis perspective on China’s scientific and technological policy evolution. J Inf Econ, 2023; 1: 50-64.[DOI]
[15] Bilal A, Li X, Zhu N et al. Green technology innovation, globalization, and CO2 emissions: recent insights from the OBOR economies. Sustainability, 2021; 14: 236.[DOI]
[16] Jennen M, Verwijmeren P. Agglomeration effects and financial performance. Urban Stud, 2010; 47: 2683-2703.[DOI]
[17] Du M, Hou Y, Zhou Q et al. Going green in China: How does digital finance affect environmental pollution? Mechanism discussion and empirical test. Environ Sci Pollut R, 2022; 29: 89996-90010.[DOI]
[18] Zhanbayev R, Bu W. How does digital finance affect industrial transformation? J Inf Econ, 2023; 1: 18-30.[DOI]
[19] Hsu PH, Tian X, Xu Y. Financial development and innovation: Cross-country evidence. J Financ Econ, 2014; 112: 116-135.[DOI]
[20] Samargandi N, Fidrmuc J, Ghosh S. Is the relationship between financial development and economic growth monotonic? Evidence from a sample of middle-income countries. World Dev, 2015; 68: 66-81.[DOI]
[21] Attia M, Yousfi O, Omri A. Does Nomination Committee Matter for Innovation?. J Inf Econ, 2024; 2: 33-59.[DOI]
[22] Lee N, Sameen H, Cowling M. Access to finance for innovative SMEs since the financial crisis. Res Policy, 2015; 44: 370-380.[DOI]
[23] Liao H, He Q. Does green credit policy work in China? Evidence from corporate investments in green technical progress and environmental performance. Sustainability, 2018; 10: 3507.
[24] Luo L, Lovely ME, Popp D. Intellectual returnees and technological development in China. World Econ, 2019; 42: 2624-2647.
[25] Gong P, Zhou N. Does stakeholder orientation matter for renewable energy development? Evidence from China’s listed power generation companies. Renew Sust Energ Rev, 2018; 81: 1061-1070.
[26] Shahbaz M, Farhani S, Nguyen DK. Financial development, globalization, the Paris agreement and environmental sustainability: The importance of asymmetric oil price pass-through and asymmetric currency depreciation. Energ Policy, 2020; 142: 111496.
[27] Ji Y, Guo J, Zhang Z. Institutional distances and FDI location choice: MNEs in China. J Int Manag, 2019; 25: 100672.
[28] Kindle CP. The Formation of Financial Centers: A Research in Comparative Economic History. Princeton: Princeton University Press, 256-264. 1974.
[29] Davis EP. International financial centres: an industrial analysis. London: Bank of England. 1990.
[30] Tian Y, Wang R, Liu L et al. A spatial effect study on financial agglomeration promoting the green development of urban agglomerations. Sustain Cities Soc, 2021; 70, 102900.[DOI]
[31] Thrift NJ. On the social and cultural determinants of international financial centres. In Reprinted in The City of London. Routledge, 2000.
[32] Porteous D. The geography of finance: Spatial dimensions of intermediary behaviour. (No Title), 1995.
[33] Gehrig T. Cities and the geography of financial centers. Economics of cities: theoretical perspectives, 2000, 34: 415-446.
[34] Martin P, Ottaviano GI. Growth and agglomeration. Int Econ Rev, 2001; 42: 947-968.[DOI]
[35] Palmberg J. Spatial concentration in the financial industry. In The spatial market process. Emerald Group Publishing Limited. 2012.[DOI]
[36] Cotugno M, Monferrà S, Sampagnaro G. Relationship lending, hierarchical distance and credit tightening: Evidence from the financial crisis. J Bank Financ, 2013; 37: 1372-1385.[DOI]
[37] Milani C. Borrower–lender distance and loan default rates: Macro evidence from the Italian local markets. J Econ Bus, 2024; 71: 1-21.[DOI]
[38] Zhao SX, Cai J, Zhang L. Asymmetric information as a key determinant for locational choice of MNC headquarters and the development of financial centers: A case for China. China Econ Rev, 2005; 16: 308-331.[DOI]
[39] Bolstad L, Maloney D, Yuen C. The Financial Services Cluster of the Twin Cities. 2010.
[40] Mei B, Ali MAS, Khan I et al. Analyzing the mediating role of industrial structure in the spatial spillover effects of financial agglomeration on carbon emission and regional heterogeneity. Environ SciPollut R, 2023; 1-17.[DOI]
[41] Feng Y, Zou L, Yuan H et al. The spatial spillover effects and impact paths of financial agglomeration on green development: Evidence from 285 prefecture-level cities in China. J Clean Prod, 2022; 340, 130816.[DOI]
[42] Zhong Y, Xia G, Lu X. Study on the Impact of Financial Agglomeration on the Development of Digital Economy. Financ Eng Risk Manag, 2023; 6: 92-98.[DOI]
[43] Akiyoshif F. Central government, local government and agglomeration. Dicussion Paper Series, 2010; 6: 1-10.
[44] Mitton T. Institutions and concentration. J Dev Econ, 2008; 86: 367-394.[DOI]
[45] McBratney AB, Santos MLM, Minasny B. On digital soil mapping. Geoderma, 2003; 117: 3-52.[DOI]
[46] Nazmi N. Deregulation, financial deepening and economic growth: The case of Latin America. Q Rev Econ Financ, 2005; 45: 447-459.[DOI]
[47] Qian Y, Liu J, Forrest JYL. Impact of financial agglomeration on regional green economic growth: evidence from China. J Environ Plann Man, 2021; 65: 1611-1636.[DOI]
[48] Pandit NR, Cook G. The benefits of industrial clustering: Insights from the British financial services industry at three locations. J Financ Serv Mark, 2003; 7: 230-245.[DOI]
[49] Zhang X. Research on the Impact of Financial Agglomeration on Industrial Structure in Jiangxi Province. Front Econ Manag, 2023; 4: 265-279.[DOI]
[50] Kindleberger CP. Economic response: comparative studies in trade, finance, and growth. Harvard University Press, 1978.[DOI]
[51] Porter ME. Clusters and the new economics of competition. Boston: Harvard Business Review, 1998.
[52] Porteous, D. The development of financial centres: Location, information externalities and path dependence. Money Space Econ, 1999; 95-114.
[53] Chung YH, Färe R, Grosskopf S. Productivity and undesirable outputs: a directional distance function approach. J Environmenta Manage, 1997; 51: 229-240.[DOI]
[54] Fan F, Lian H, Liu X et al. Can environmental regulation promote urban green innovation Efficiency? An empirical study based on Chinese cities. J Clean Prod, 2021; 287: 125060.[DOI]
[55] Bu W, Ren S. Does economic growth target constraint put pressure on green energy efficiency? Evidence from China. Environ Sci Pollut R, 2023; 30: 31171-31187.[DOI]
[56] Santos E. Tech-driven transformation: Investigating digitalization dynamics across varying firm sizes. J Inf Econ, 2023; 1: 1-12.[DOI]
[57] Porter ME, Linde CVD. Toward a new conception of the environment-competitiveness relationship. J Econ Perspect, 1995; 9: 97-118.[DOI]
[58] Li J, Du Y. Spatial effect of environmental regulation on green innovation efficiency: Evidence from prefectural-level cities in China. J Clean Prod, 2021; 286: 125032.[DOI]
[59] Jaffe AB, Peterson SR, Portney PR et al. Environmental regulation and the competitiveness of US manufacturing: what does the evidence tell us? J Econ Lit, 1995; 33: 132-163.
[60] Xiong R, Gao D. Exploring the Impact of Heterogeneous Environmental Regulations on Green Innovation Efficiency: Evidence from China’s Yangtze River Economic Belt. Systems, 2023; 11: 516.[DOI]
[61] Xu J, Liu F, Shang Y. R&D investment, ESG performance and green innovation performance: evidence from China. Kybernetes, 2021; 50: 737-756.[DOI]
[62] Romer PM. Endogenous technological change. J Polit Econ, 1990; 98, S71-S102.[DOI]
[63] Mamuneas TP, Nadiri MI. Public R&D policies and cost behavior of the US manufacturing industries. J Public Econ, 1996; 63: 57-81.[DOI]
[64] Zubeltzu‐Jaka E, Erauskin‐Tolosa A, Heras‐Saizarbitoria I. Shedding light on the determinants of eco‐innovation: A meta‐analytic study. Bus Strateg Environ, 2018; 27: 1093-1103.[DOI]
[65] Feng Z, Zeng B, Ming Q. Environmental regulation, two-way foreign direct investment, and green innovation efficiency in China’s manufacturing industry. Int J Env Res Pub He, 2018; 15: 2292.[DOI]
[66] Wang KL, Sun TT, Xu RY et al. How does internet development promote urban green innovation efficiency? Evidence from China. Technol Forecasting Soc, 2022: 184: 122017.[DOI]
[67] Yin S, Li J, Yin J et al. Digital economy drives the transformation and upgrading of manufacturing industry in Hebei Province. J Inf Econ, 2024; 1: 23-45.[DOI]
[68] Tadesse S. Financial architecture and economic performance: international evidence. J Financ Intermed, 2002; 11: 429-454.[DOI]
[69] Buera FJ, Shin Y. Financial frictions and the persistence of history: A quantitative exploration. J Polit Econ, 2013; 121: 221-272.[DOI]
[70] Levine R. Financial development and economic growth: views and agenda. J Econ Lit, 1997; 35: 688-726.
[71] Saint-Paul G. Technological choice, financial markets and economic development. Eur Econ Rev, 1992; 36: 763-781.[DOI]


Copyright ©